Umfrage zur Impfbereitschaft gegen Corona

  • Käme bei mir auch darauf an, wie sich die Situation entwickelt. Ich befürchte ja gerade hier in Deutschland nichts Gutes, und, wenn es tatsächlich in diese Richtung geht, dann wäre mir ein eingeschränkter Schutz lieber als gar keiner.

    So hat ja dein Immunsystem sozusagen schon einmal Bekanntschaft gemacht, mit dieser Art von Erreger und konnte sich darauf einstellen (es zählen ja nicht nur die AKs).

    Also, ich tendiere sehr stark zu ja. Ich persönlich glaube auch, dass man die zweite Dosis austauschen kann, also, dann z. B. mit Biontech oder Moderna nachimpft (wozu ich grundsätzlich auch bereit wäre).

    Interessant wäre natürlich, ob man als bereits vorher Infizierter sich noch einmal impfen lassen sollte (aber auch das würde ich sofort tun).

    das soll jetzt erst untersucht werden, die Studie dauert allerdings 13 Monate (so sicher ist das nicht und genau das lässt mich zögern)

    Meine Beiträge werden auf einer winzigen Tastatur eines Tablets mit Autokorrektur geschrieben. Bitte entschuldigt Tippfehler. :mad:

  • Interessant wäre natürlich, ob man als bereits vorher Infizierter sich noch einmal impfen lassen sollte (aber auch das würde ich sofort tun).

    Ja, die diesbezüglichen Empfehlungen sind vor ein paar Tagen geändert worden, jetzt sollen sich auch Erkrankte impfen lassen, die Antikörperreaktion ist bei der Impfung deutlich stärker als bei der Infektion.

    Ich glaube, es würde mir schon helfen, wenn man wüsste, dass es d unproblematisch ist, ein paar Monate später einen der anderen Impfstoffe zu geben.

    Heute morgen habe ich zum ersten mal einen Virologen gehört, der gesagt hat, dass wäre problemlos möglich. Allerdings auf Basis seiner persönlichen Einschätzung, Studiendaten dazu gibt es noch nicht. Fraglich ist für mich allerdings, ob man so einfach an eine zweite Impfung (bzw. dritte) kommt, wenn bereits ein mal durch ist.

  • Puh, das klingt wirklich nicht gut.

    Angeblich bestehen doch keine Bedenken bezüglich der Wirksamkeit der Impfstoffe bei B117, nur bezüglich der südafrikanischen und brasilianischen Variante.

    Hat jemand Erklärungsansätze, was hier passiert ist?

    Dass die Impfung bei allen betroffenen Bewohnern unwirksam war, dürfte unwahrscheinlich sein. Fehlerhaft produzierte Impfstoffcharge? Oder eine weiter mutierte Version von B 117?

    Es ist sowieso nicht klar, ob die Impfung vor Infektion schützt. Es gibt ähnliche Meldungen aus Israel die darauf hindeuten, dass es tatsächlich nicht so ist. Das finde ich jetzt schon eher blöd denn so ist eigentlich klar, dass unser Freundchen endemisch wird und wahrscheinlich wird man dann auch regelmässig impfen müssen. Besonders doof ist das für alle, die sich nicht impfen lassen können, denn die sind dann eben nicht vor einer Infektion geschützt. Einen "Vorteil" hätte es aber auch: Es wird keine Privilegien für Geimpfte geben wenn diese ja trotzdem infektiös bleiben. Wobei auch das nicht gesagt ist, hängt ja wohl noch von der Viruslast ab. Naja... Mit "nicht so cool" meinte ich eben "nicht so cool" und nicht "oh wie schrecklich".

  • Das aus einem Ausbruch mit wenigen, leicht Infizierten ab zu leiten, der mehr oder weniger zeitgleich mit der zweiten Impfung stattgefunden hat ist eine ausgesprochen wilde Spekulation.

  • Die zweite Impfung hat am 25. Januar stattgefunden, heute haben wir den 7. Februar. Deine Definition von "zeitgleich" ist eher abenteuerlich. 14 Personen ist wohl ein bisschen viel um an einen dummen Zufall zu glauben. Zumal man aus Israel unterdessen ziemlich sicher weiss, dass es auch nach der 2. Impfung zu Infektionen kommt. In der Studie wurde das nicht überprüft, es wurden nur symptomatische Erkrankungen registriert.

  • Die zweite Impfung hat am 25. Januar stattgefunden, heute haben wir den 7. Februar. Deine Definition von "zeitgleich" ist eher abenteuerlich. 14 Personen ist wohl ein bisschen viel um an einen dummen Zufall zu glauben. Zumal man aus Israel unterdessen ziemlich sicher weiss, dass es auch nach der 2. Impfung zu Infektionen kommt. In der Studie wurde das nicht überprüft, es wurden nur symptomatische Erkrankungen registriert.

    2. Februar (stand im Artikel), also 7 Tage nach 2. Impfung und Schnelltests sind nicht so schnell positiv. Deshalb schon zeitgleich und es wurde in den Studien nicht nur nach symptomatischen gesehen.

    Meine Beiträge werden auf einer winzigen Tastatur eines Tablets mit Autokorrektur geschrieben. Bitte entschuldigt Tippfehler. :mad:

  • das soll jetzt erst untersucht werden, die Studie dauert allerdings 13 Monate (so sicher ist das nicht und genau das lässt mich zögern)

    Allerdings, was kann schlimmstenfalls passieren ... stärkere Nebenwirkungen? Eher unwahrscheinlich. Es sei denn, man reagiert generell leicht allergisch oder hatte schon bei der ersten Impfung Probleme.

    Weniger Wirkung? Glaube ich ehrlich gesagt nicht, eher würde ich annehmen, dass der Effekt sich verbessert. Wenn ich das recht in Erinnerung habe, wird ja bei jedem Impfstoff das Protein vom Körper ein bisschen anders nachgebaut, also die Immunantwort sozusagen verfeinert.

    Ich persönlich würde das machen, aber kann das auch verstehen, wenn jemand sagt, ihm ist das nicht geheuer.

    Wir haben aber ja auch schon so viele Daten gesammelt, und theoretische Überlegungen angestellt: Wenn man das vergleicht mit der allerersten Impfung in der Menschheitsgeschichte ...und selbst die war ein voller Erfolg ^^

  • Zu den Fall im Altenheim:

    Kann ja auch sein, dass die Infektion kurz vor/nach der zweiten Dosis erfolgte (Schutz noch nicht ausreichend, bei evtl hoher Virenlast, wenn z. B. die Variante eingeschleppt wurde), dann noch die Inkubationszeit, die länger war als die 5 Tage ... gibt echt mehrere Erklärungen.

  • Allerdings, was kann schlimmstenfalls passieren ... stärkere Nebenwirkungen? Eher unwahrscheinlich. Es sei denn, man reagiert generell leicht allergisch oder hatte schon bei der ersten Impfung Probleme.

    Weniger Wirkung? Glaube ich ehrlich gesagt nicht, eher würde ich annehmen, dass der Effekt sich verbessert. Wenn ich das recht in Erinnerung habe, wird ja bei jedem Impfstoff das Protein vom Körper ein bisschen anders nachgebaut, also die Immunantwort sozusagen verfeinert.

    Ich persönlich würde das machen, aber kann das auch verstehen, wenn jemand sagt, ihm ist das nicht geheuer.

    Wir haben aber ja auch schon so viele Daten gesammelt, und theoretische Überlegungen angestellt: Wenn man das vergleicht mit der allerersten Impfung in der Menschheitsgeschichte ...und selbst die war ein voller Erfolg ^^

    Es gab auch Untersuchungen im Reagenzglas , dass Kreuzimmunität gegen andere Coronaviren zu überschießendem Immunsystem führen kann. Und gerade das ist ein Problem bei vielen schweren Covid-19-Fällen.

    Meine Beiträge werden auf einer winzigen Tastatur eines Tablets mit Autokorrektur geschrieben. Bitte entschuldigt Tippfehler. :mad:

  • Allerdings, was kann schlimmstenfalls passieren ... stärkere Nebenwirkungen? Eher unwahrscheinlich. Es sei denn, man reagiert generell leicht allergisch oder hatte schon bei der ersten Impfung Probleme.

    Weniger Wirkung? Glaube ich ehrlich gesagt nicht, eher würde ich annehmen, dass der Effekt sich verbessert. Wenn ich das recht in Erinnerung habe, wird ja bei jedem Impfstoff das Protein vom Körper ein bisschen anders nachgebaut, also die Immunantwort sozusagen verfeinert.

    Ich persönlich würde das machen, aber kann das auch verstehen, wenn jemand sagt, ihm ist das nicht geheuer.

    Wir haben aber ja auch schon so viele Daten gesammelt, und theoretische Überlegungen angestellt: Wenn man das vergleicht mit der allerersten Impfung in der Menschheitsgeschichte ...und selbst die war ein voller Erfolg ^^

    Was wir glauben und hoffen ist letztendlich gar nicht so wichtig.

    Zumindest ich möchte es "schwarz auf weiß" anhand von belastbaren Studienergebnissen belegt bekommen, wie es sich mit einer Mischung von Impfstoffen auf die Verträglichkeit und den Impfschutz abschließend auswirkt.

  • 2. Februar (stand im Artikel), also 7 Tage nach 2. Impfung und Schnelltests sind nicht so schnell positiv. Deshalb schon zeitgleich.

    Es heisst, dass am 2. Februar die ersten positiven Tests bei Mitarbeitern aufgefallen sind und erst danach das komplette Heim getestet wurde - ob per Schnelltest oder PCR ist völlig unklar. Gemäss Studie von BioNtech und Pfizer kommt es ausserdem nach der 1. Impfung schon kaum noch zu symptomatischen Erkrankungen. Realistisch betrachtet spricht der Vorfall eher dafür, dass die Impfung nicht vor Infektion schützt.

  • Welchen Sinn haben Impfungen, wenn sie nicht vor Infektionen schützen? Baut nicht die gesamte Impfkampagne darauf auf?

    Stellt wirklich ein erwachsener Mensch mit akademischer Ausbildung diese Frage? Oh ... Es gab sogar noch 2 likes dafür. Meine Güte. :autsch:

  • Welchen Sinn haben Impfungen, wenn sie nicht vor Infektionen schützen? Baut nicht die gesamte Impfkampagne darauf auf?

    Selbstschutz vor schweren Verläufen.

    Bildung ist die Fähigkeit, fast alles anhören zu können, ohne die Ruhe zu verlieren oder das Selbstvertrauen. (Robert Frost)

    Bildung kann einen sehr glücklich und gelassen machen. (Günther Jauch)

    Was nützt es dem Menschen, wenn er Lesen und Schreiben gelernt hat, aber das Denken anderen überlässt? (Ernst R. Hauschka)




  • Ich habe keine akademische Ausbildung im Bereich Pharmazie oder Naturwissenschaften, also ja, ich sehe es als legitim an, solche Fragen zu stellen. Ein bisschen weniger hohes Ross wäre an der Stelle angemessen, gerade weil viele dich hier auch so für deine naturwissenschaftliche Expertise schätzen.

  • Es gab auch Untersuchungen im Reagenzglas , dass Kreuzimmunität gegen andere Coronaviren zu überschießendem Immunsystem führen kann. Und gerade das ist ein Problem bei vielen schweren Covid-19-Fällen.

    Ja, das habe ich auch irgendwo mal gelesen. Aber wurde das nicht widerlegt? ich hab grad gegoogelt, konnte aber auf die Schnelle nichts finden

    Das würde ja dann Sinn machen, wenn der Körper sozusagen immer weiter Proteinbausteine produziert. Die m-RNA wird aber doch nur einmal verwendet und dann abgebaut. Also, wie die Infektion, nur in light ... daher kann ich mir nicht mehr richtig herleiten, wie es überhaupt zu dieser Annahme kam. Falls du dazu was findest, poste gerne mal, mich würde das interessieren.

    Was wir glauben und hoffen ist letztendlich gar nicht so wichtig.

    Zumindest ich möchte es "schwarz auf weiß" anhand von belastbaren Studienergebnissen belegt bekommen, wie es sich mit einer Mischung von Impfstoffen auf die Verträglichkeit und den Impfschutz abschließend auswirkt.

    Stimmt natürlich. Mir persönlich wäre es natürlich auch am liebsten, wenn das ein Impfstoff wäre, den man 10 Jahre lang gründlich in Langzeitstudien erforscht hat.

    Da das aber leider nicht möglich ist, bleibt einem wohl nichts Anderes, als die Impfung oder die Infektion zu riskieren.

    Persönlich möchte ich die Infektion nicht (wieder) riskieren, dazu hab ich viel zu großen Respekt vor der Krankheit.

    Außerdem motiviert mich die Vorstellung, dass ich geimpft auch hoffentlich keinen mehr anstecken kann.

    Aber klar, man muss sehen, da geb ich dir recht.

  • Es heisst, dass am 2. Februar die ersten positiven Tests bei Mitarbeitern aufgefallen sind und erst danach das komplette Heim getestet wurde - ob per Schnelltest oder PCR ist völlig unklar. Gemäss Studie von BioNtech und Pfizer kommt es ausserdem nach der 1. Impfung schon kaum noch zu symptomatischen Erkrankungen. Realistisch betrachtet spricht der Vorfall eher dafür, dass die Impfung nicht vor Infektion schützt.

    Der Impfschutz ist nach Studiendaten 2 Wochen nach der 2. Impfung aufgebaut, 2 Wochen nach der 1. Impfung liegt er ungefähr bei 50%.

    Und da keine von uns wirklich beurteilen kann, wie der Ausbruch ohne Impfung ausgesehen hätte (vielleicht hätte es dann 140 Infizierte gegeben und nicht 14), ist es wirklich eine völlig wilde Spekulation aus diesem Ausbruch etwas über die Wirksamkeit der Impfung ableiten zu wollen.

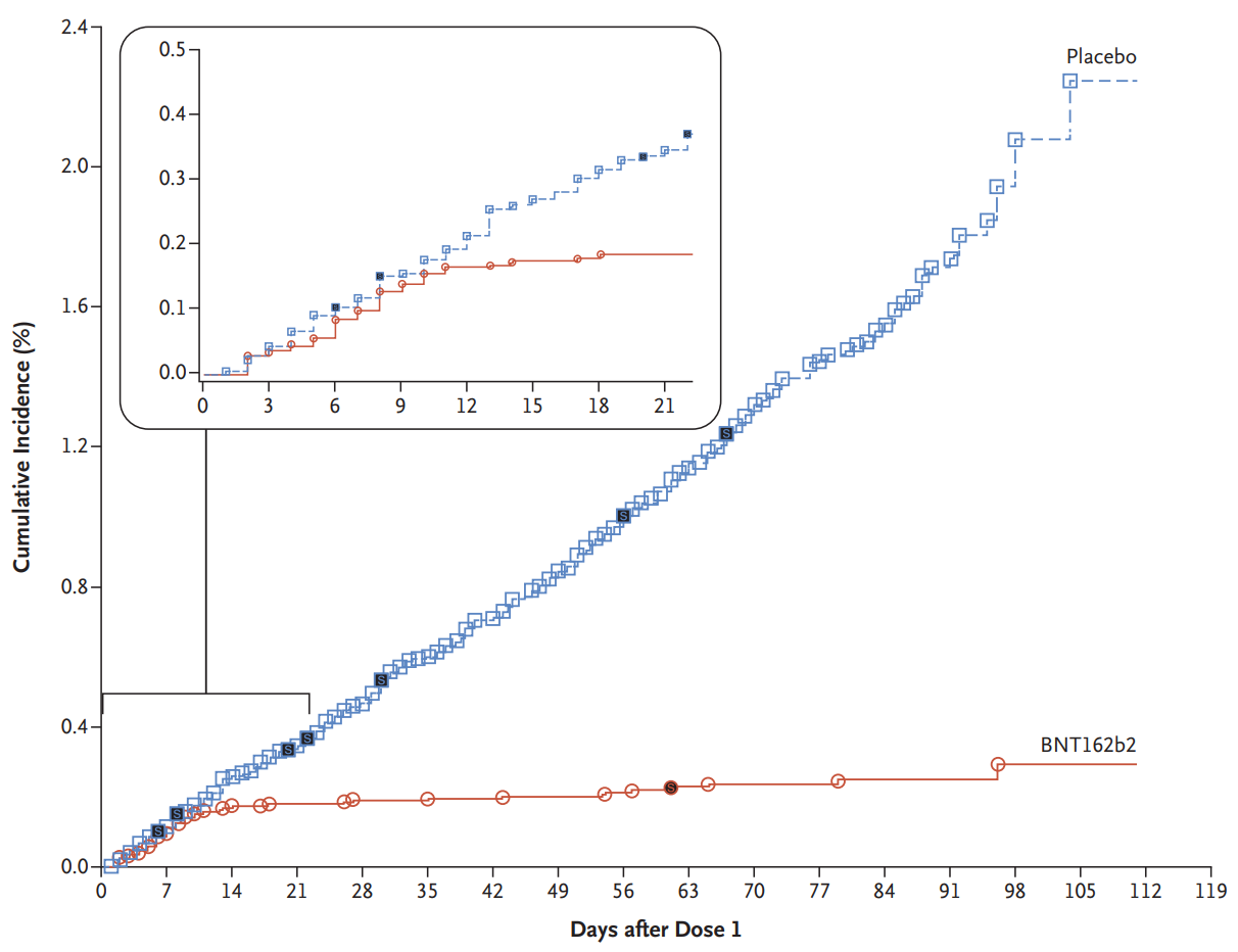
  • Nein, es sind laut Studie 82 % Impfschutz nach dem die 1. Immunisierung voll wirksam ist. Ab Tag 14 nach der 1. Dosis kommt es zu signifikant weniger Erkrankungen:

    pasted-from-clipboard.png

    Und nochmal: Da wurden nur symptomatische Erkrankungen registriert und keine stillen Infektionen. Ziemlich sicher hätte der Ausbruch in Osnabrück ohne Impfung zu einer grösseren Anzahl an symptomatischen und schweren Erkrankungen geführt, das hat überhaupt niemand abgestritten. Es verdichten sich aber die Hinweise darauf, dass die Impfung nicht vor einer Infektion schützt. Nochmal: Das geht auch aus den aktuellen israelischen Daten hervor. Die registrieren bei systematischen Massentests in Pflegeheimen sehr wohl Infektionen auch nach der 2. Impfung. Aber auch dabei handelt es sich offenbar um stille Infektionen, sprich, die Impfung schützt vor Erkrankung. Heute gelesen in der NZZ, Aboartikel, kann ich nicht verlinken. Wird man bestimmt aber auch in anders irgendwo bei Tante Google finden können.

Werbung